日本女性人均寿命又全球第一,Nature调查:原来寿星佬儿的肠道能自产“抗菌剂”

上周,日本厚生劳动省公布的最新简易生命表显示,2020年日本人均寿命:女性87.74岁,男性81.64岁,均刷新了历史最高纪录。此次,日本女性平均寿命自2014年以来重回世界首位,男性位列世界第二。如果包含地区在内,中国香港连续两年男女平均预期寿命分列世界第一,但由于世界卫生组织把统计标准变更为“国家”,因此,日本女性此次排名世界第一 。
与去年相比,日本女性平均寿命增加了0.30岁,男性增加0.22岁,均实现连续九年延长。而且,日本百岁老人在去年已经突破8万人大关,达到80450人。其中,女性有70975人,占到88%。
对人类而言,成为一个健康的百岁老人才算是真正意义上的人生赢家。那么,到底是什么不为人知的“秘密”让这些人能活成“人生赢家”呢?
近日,发表在 Nature 上的一项研究中,来自日本庆应大学和美国麻省理工学院-哈佛大学布罗德研究所领导的研究团队调查了160名百岁老人后,发现了其中的“秘密”:能让这些老人长命百岁的是他们独特的肠道菌群,产生了独特的化合物,帮助抵御感染和其他环境压力并最终促进长寿。

普遍观点认为,长寿的秘诀已“写”在个体的基因里。然而实际上,遗传在长寿中所占的比例不到30%,这就为许多其他随时间变化的因素敞开了大门,包括饮食、生活习惯和人际关系等,现在看来,还包括肠道菌群!肠道菌群涉及人体健康的方方面面,因此,这种因果关系是合情合理的。
众所周知,被称为人类“第二大脑”的肠道微生物组(菌群)与各种人类疾病如癌症、心血管疾病、2型糖尿病、肥胖症和高血压,以及老年痴呆症和精神类疾病等密切相关。因为肠道菌群直接影响肠道中引发疾病的促炎反应和对抗疾病的抗炎反应间的平衡。健康的肠道生态系统一定是平衡且互惠互利的状态;反之,则会表现出各种健康问题。

研究肠道菌群的魅力就在于,科学家们找到健康长寿的“样板”菌群后,摸清它们的组成与功能,然后去纠正那些失衡的菌群,从而预防或治疗疾病,并最终改善人体健康。
尽管这个想法听起来非常吸引人,但俗话说:“机制不明,肠道菌群”。肠道菌群是一个巨大的生态系统,既非常复杂,又特别敏感。诸多研究表明,饮食的改变可以在几天内迅速改变个体肠道菌群的组成。或带来疾病,或带来健康。
一般来说,百岁老人不太容易患上与年龄有关的慢性疾病,而且在某种程度上他们也有能力抵御传染病。这或许就是他们的肠道菌群帮助了他们。
与普通人相比,百岁老人是健康老龄化的一个极端例子,所以他们一定是做了正确的事情才有了不一样的肠道菌群,并最终成为“人生赢家”。
在这项研究中,研究人员从日本各地招募了160名平均年龄为107岁的百岁老人,将他们粪便样本中的细菌群落与另外112名85至89岁老人,以及47名较年轻参与者(21至55岁)的肠道细菌群落进行了比较。
研究人员发现,虽然一些百岁老人表现出了典型的衰老迹象,比如轻微的炎症,但他们中的大多数人没有肥胖、糖尿病、高血压和癌症等慢性疾病。
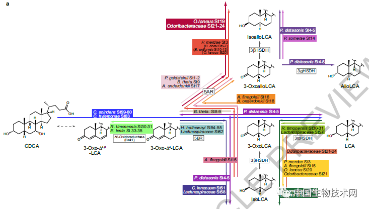
通过分析三组人的肠道菌群组成后,研究人员注意到百岁老人肠道中含有一类能产生次级胆汁酸的独特细菌尤为丰富,但在在其他两组参与者中并不突出。

这种细菌的一个重要特性是可以通过一条生物合成途径,产生一组特有的次级胆汁酸,包括石胆酸(LCA)及其衍生物3-oxoLCA和isoalloLCA。而且,isoalloLCA 的生物合成途径以前从未被描述过。

通过从一位百岁老人的粪便菌种中筛选了68株细菌分离物,研究人员鉴定出肠道有益菌Odoribacteraceae。通过体内和体外试验,他们发现Odoribacteraceae可以有效产生isoalloLCA 。
在1到2年的纵向样本中,百岁老人粪便代谢的脂肪酸谱和肠道细菌类型是稳定的。
然而,这项研究没有考虑老人们的生活方式因素,例如饮食,所以研究人员还不能确定到底是什么导致了他们的肠道菌群的独特性。
在进一步的实验中,研究人员证明了isoalloLCA可以抑制实验室培养的艰难梭菌的生长。
艰难梭菌(Clostridium difficile)是一种常见的肠道细菌,会导致严重的腹泻和结肠炎症。研究人员用这种细菌感染小鼠后,在它们的饮食中仅添加0.1%的isoalloLCA,就能显著减轻有害细菌造成的感染。

目前看来,IsoalloLCA是对革兰氏阳性细菌(包括耐多药的病原体)具有选择性的最有效抗菌剂之一。研究人员甚至建议,像Odoribacteraceae这种能产生IsoalloLCA的菌株,可以用来帮助我们保持良好的肠道健康,一直到老。
但他们也表示,还需要进一步的研究来验证胆汁酸与长寿的关系。
论文链接:
https://www.nature.com/articles/s41586-021-03832-5
(中国生物技术网)